江苏佳尔科药业集团股份有限公司

产品中心

产品类别

氢化可的松

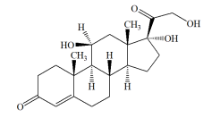
产品名称 氢化可的松
英文名称 Hydrocortisone
CAS No. 50-23-7
分子式 C21H30O5
分子量 362.46
结构式

Jiaerke

Pharmaceuticals

联系我们

官方移动平台

▶   地址:江苏省常州市郑陆镇

▶   电话:0519-88731706 / 88731714(行政)
     0519-88737060 / 88930815(销售)
     0519-88737050(保健品)

▶   传真:0519-88736500

▶   邮箱:sales@jiaerke.com
     jiaerkepharm@jiaerke.com

江苏佳尔科药业集团股份有限公司 版权所有(C)2023 网络支持 化工网 生意宝 生意社 著作权声明 备案序号:苏ICP备10228680号   邮箱登录   |   佳尔科OA